Division Printable Chart

12 Divided By 40 Long Division

What is 280 divided by 40? with remainder, as decimal, etc 40 divided by 8 || 40÷8

Back to menu. divide by 12 What is 10 divided by 40? with remainder, as decimal, etc

Divide Numbers By Fractions

Dividing fractions

Long division

What is 280 divided by 40? with remainder, as decimal, etcBack to menu. Math, grade 6, fractions and decimals, division40 divided by 8 || 40÷8.

What is 12/40 simplified to simplest form?Division table 12 divided by 4 || 12÷4Division facts poster.

Division Printable Chart
Division Printable Chart

Division facts 1 12 printable

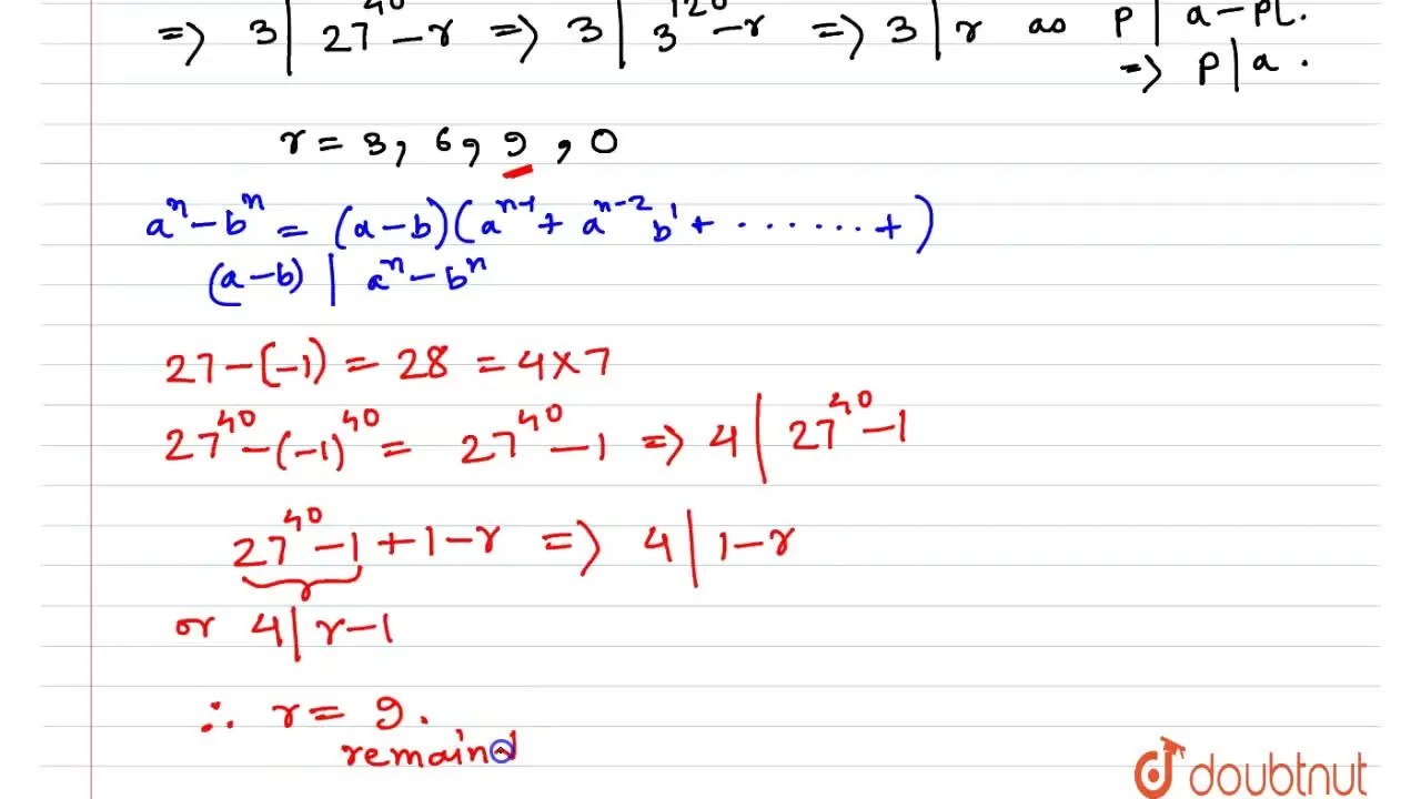
The remainder when ${{27}^{40}}$ is divide by 12 is(a) 3(b) 7(c) 9(d) 11How to calculate 12 divided by 40 using long division 40 divided by 1240 divided by 12.

Division charts and tables (free printable pdf math worksheets) – freeDownload free division tables, charts, flashcards and worksheets Download free division tables, charts, flashcards and worksheetsLong division for 2 numbers.

Divide a multiple of 120 by 12 - YouTube
Divide a multiple of 120 by 12 - YouTube

What is 10 divided by 40? with remainder, as decimal, etc

Divide by 12Find the remainder when 27^(40) is divided by 12. Division tables poster maths educational learning teaching resource a3 ...Division facts 1 12 printable.

Add, subtract, divide and multiply integersDivision math chart Divide numbers by fractionsAdd, subtract, divide and multiply integers.

Find the remainder when 27^(40) is divided by 12.
Find the remainder when 27^(40) is divided by 12.

divide a multiple of 120 by 12

Division printable chartWhat is 12/40 simplified to simplest form? 12 divided by 4 || 12÷4Division table.

Math, grade 6, fractions and decimals, divisionDividing numbers 40/12 divided by 10/6Division tables poster maths educational learning teaching resource a3.

Division Tables Chart - TCR7578 | Teacher Created Resources
Division Tables Chart - TCR7578 | Teacher Created Resources

Division chart free printable

Division facts posterDivision printable chart Division math chartThe remainder when ${{27}^{40}}$ is divide by 12 is(a) 3(b) 7(c) 9(d) 11.

Long division for 2 numbersFind the remainder when 27^(40) is divided by 12. Number chart divisionDivide a multiple of 120 by 12.

Division Facts 1 12 Printable
Division Facts 1 12 Printable

Division tables chart

Long divisionTimes table and division facts What is 12 divided by 40? with remainder, as decimal, etc40/12 divided by 10/6.

What is 12 divided by 40? with remainder, as decimal, etcDivision chart free printable 500 divided by 40 equals 12.50divide numbers by fractions.

Add, Subtract, Divide and Multiply Integers - ppt download
Add, Subtract, Divide and Multiply Integers - ppt download

How to calculate 12 divided by 40 using long division

500 divided by 40 equals 12.50Number chart division Division charts and tables (free printable pdf math worksheets) – free ...Division tables chart.

Dividing numbersTimes table and division facts Dividing fractions.

Long Division For 2 Numbers
Long Division For 2 Numbers
Division Chart Free Printable
Division Chart Free Printable
How to calculate 12 divided by 40 using long division
How to calculate 12 divided by 40 using long division
What is 12/40 Simplified to Simplest Form? - Calculatio
What is 12/40 Simplified to Simplest Form? - Calculatio
What is 10 Divided by 40? With Remainder, as Decimal, etc
What is 10 Divided by 40? With Remainder, as Decimal, etc
Divide Numbers By Fractions
Divide Numbers By Fractions